Deepesh Lall*
Department of Pharmaceutics, LCIT School of pharmacy, Bilaspur, Chhattisgarh, India
*Address for corresponding Author
Deepesh lall
Department of Pharmaceutics, LCIT School of pharmacy, Bilaspur, Chhattisgarh, India
Abstract
Objective: An attempt has been made with the three dimensional structured hydrogel based formulation. Objective of the work to design, development and characterization of Timolol hydrogel formulation for Glaucoma with minimum dose of timolol about 0.1% achieved maximum therapeutics response with prolonged duration of application. Materials and methods: Material were used in this research work the raw drug of Timolol maleate, gellun gum, chitosan, PLGA and other materials of analytical grade used. Cold condensation method was used to prepare timolol hydrogel. Prepared hydrogel was characterized by different parameters like release pattern, viscosity, pH, permeation and sterility. Results and conclusion: Results were showed timolol maleate under hydrogel formulation possess much stable and increase in bioavailability with compare to its convectional dosage form. It was showed that hydrogel enhances the contact time into the eye after administering with prolonged duration of drug release from the formulation without possess any inflammation and side effects. Timolol maleate under hydrogel formulation comes with various advantageous over present formulation, it requires less dosage 0.1% of Timolol maleate in single administration, among present formulation in the marketed this attempt hydrogel formulation would be definitely beneficial with appropriate less dose uses with maximum therapeutic responses. Much stable with prolonged duration drug release can be achieved.
Keywords: Bioavailability, timolol maleate, hydrogel, glaucoma, cold condensation
Introduction
One of the new technology in the field of the nanoparticles, hydrogel has their great impact. Hydrogel comes with the semisolid systems where liquid phase is contained under the three dimensional polymeric matrix of natural or semi-synthetic polymer binding, a higher degree of the physical or chemical crosslinking has been created. Glaucoma has very limited effective treatment and needs some special care of the patients (Park et al., 2002). The formulation with increase bioavailability with much potent and effectiveness is important in the delivery to the eye (Huang et all., 2017). glaucoma shows the conditions in which the damaging of th eye optic nerves with build up the increased in pressure inside the eye. glaucoma can also latter causes the loss of the permanent vision to the individuals. In most of the cases in early stages patients generally not even recognises its symptoms (Knight et al., 2014). There are sevral formulations and drugs are categorized to treat the glaucoma, but they have various side effects and soe are not much effecient to the optic delivery systems. One of the categorized drug from beta-blockers plays an important role named as Timolol. Beta-blockers can be potent drug group for the glaucoma. Where timolol having three different concentrations which is often prefer for the glaucoma, 0.1%, 0.25 and 0.5% of drug concentrations (Akaishi et al., 2005). With compare to the other drugs concentartions timolol with these concentartion 0.1% can be much enough effective and potent dose, hence timolol drug comes best choice for the treatment of the glaucoma. With regarding the clinical term glaucoma having different conditions with the some common feature of an optic neuropathy characteristics by a distinctive loss of Retinal Nerve Fiber Layer (RNFL) and Optic Nerve Head (ONH) defects in prior. The loss of the optical retinal ganglion cells that may lead to an irreversible loss of visual and usually beginning paracentrally but in complete if the disease not controllable (Chen et al., 2015).
Timolol with an effective and potent action into the optical nerves make it stable with advanced patient friendly non-irritant and non-toxic. As per Chen et al. (2015) hydrogel in encapsulation of the timolol with 0.1% makes more safer and increased in contact time with the eye. Hydrogel which make the formulation more soluble and stable than their in original forms.
The timolol formulation for the treatment of the eye carbomers used is Carbopol-974P, this is the carbomer used for the timolol 0.1% gel and the medium used is the ethyl acetate. The opthalmic solution clearances get measured by the radioisotopes and the carbopol and polyvinyl alcohol (PVA) shows the same viscosity but differ in their residual corneal activity in prior after 60 minutes from the instillation (De campus et al., 2004).
In combination PVP and carbomers possess several benefit of staying for a prolonged time duration over the cornea and in the conjunctiva surface, also these comibation prevent from the blurr vision, because individual carbomers produces blurr vision for about 7 minutes because of slight viscous gel, but in comibation of the PVP it creates the clear visions also stable (Hu et al., 2017). It is widely demonstrated through TEM and under UV analysis studies of corneal contact time which shows standard formulation gel stays for over 40 minutes after the instillation at an acceptable quantity.
Methods and materials
Drug raw Timolol maleate was purchase from standard drug and regulatory store. Carbopol 940p, gellan gum and chitosan, PLGA were procured from Alkem laboratory products, India. All other reagents used were of analytical grade.
Preparation of hydrogel by cold condensation method
Aim of present work is to prepare the ocular timolol hydrogel using bio-degradable, bio-compatible polymer (gelatine with glycerin and PLGA). First dissolve the drug as well as the polymer in the selected solvent, selection of a solvent system priorly mandatory. In the solvent system the preparation of solution of polymer takes places. After the addition of drug takes place with the polymer in solvent then allow this mixer stirring and mixing until a clear solution is achieved. Plasticizer, additives like preservatives and other additives prior add into it. Then over the suitable plan surface of glass plate cast the film of hydrogel solution by pouring on the surface and let it aside to dry. Using formation of gel need temperature range nearly 10-15 degree celcius. After it was observed solution becomes little harden, then carefully remove the gel from the glass plate and stored in sitable container untill use. For the preparation of in-situ gel, PLGA, gellan gum and chitosan were selected as the important polymer and carbopol 940p as co-polymer prior. A polymer solution prepared with the PLGA, gellan gum or chitosan alone or in combination with carbopol 940p by cold method. Then this solution was accurately weighed and solubilized with the required volume of purified water by the aggitation continuous stirring about 10-15 minutes. Then after the tendency of in-vitro gelation time and according to the gelation capacity optimistic formulation batch selected for the preparation of Timolol loaded in-situ hydrogel. The optimistic PLGA and carbopol with 0.1% w/v and methyl paraben used as preservative and about 0.45% w/v of NaCl employed for the adjustment of the tonicity of the prepared formulation.

Figure 1. Process of formulation of the Timolol hydrogel based ocular in-situ gell (Haraguchi et al., 2002)
Table 1. Formulation of the hydrogel in different proportion of different batches
|
S. No. |
Ingredients |
F1 |
F2 |
F3 |
F4 |
F5 |
F6 |
F7 |
F8 |
F9 |
F10 |
|
|
Timolol maleate (gram%) |
0.1 |
0.1 |
0.1 |
0.1 |
0.1 |
0.1 |
0.1 |
0.1 |
0.1 |
0.1 |
|
|
Carbopol-934 |
0.5 |
0.5 |
1 |
0.5 |
- |
- |
1 |
- |
- |
1.5 |
|
|
Pluronic-407 |
- |
- |
- |
- |
10 |
15 |
- |
10 |
12 |
- |
|
|
Ethanol (ml) |
2.5 |
2.5 |
2.5 |
2.5 |
2.5 |
2.5 |
2.5 |
2.5 |
2.5 |
2.5 |
|
|
Methyl paraben |
0.3 |
0.3 |
0.3 |
0.3 |
0.3 |
0.3 |
0.3 |
0.3 |
0.3 |
0.3 |
|
|
Propyl paraben |
0.05 |
0.05 |
0.05 |
0.05 |
0.05 |
0.05 |
0.05 |
0.05 |
0.05 |
0.05 |
|
|
PLGA |
2.5 |
2 |
2.5 |
2.5 |
2 |
2 |
2.5 |
2 |
2 |
2.5 |
|
|
NaOH |
qs |
qs |
qs |
qs |
qs |
qs |
qs |
qs |
qs |
qs |
|
|
HPMC |
3.5 |
- |
4 |
4.5 |
- |
- |
- |
3.5 |
3.5 |
3.5 |
|
|
HPC |
- |
3.5 |
- |
- |
3.5 |
4 |
4.5 |
- |
- |
- |
|
|
Water (ml) |
100 |
100 |
100 |
100 |
100 |
100 |
100 |
100 |
100 |
100 |
Characterization of the in-situ hydrogel of Timolol maleate
The encapsulation of the drug Timolol under the nanoparticles hydrogel makes it more potent and improvise the desired formulation to well suited fo the ocular drug delivery system. Hydrogel comes with several advantages includes bio-campatible, bio-degradable and more over the best of choice for the ocular delivery. As the Ocular drug delivery system falls over the critical parameters, the present work examine the well of it, total drug release testing from the formulation, polymer with drug compatible, polymer with polymer compatible studies and in-vitro drug release profile were examined priorly.
In-vitro Drug Release profile analysis
Timolol drug release profile analysis helps to estimate the formulation durability and drug behaviour with the polymer compatibility. This in-vitro hydrogel of timolol maleate evaluate by the using of Franz diffusion cell this cell used to measure the diffusion capacity of the drug across a cellophane membrane. Franz diffusion cell having two compartments one is the donor compartment and other receptor compartment. In the determination of the in-vitro drug delivery profile the previously socked cellophane membrane taken and placed in between these two compartments. Then drug releasment profile estimated by analysis under the UV-spectrophotometer.
In-vitro corneal permeation determination
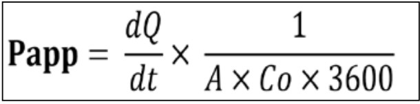
Corneal permeation ability of the hydrogel makes the drugs easy available to the mainstreams. Corneal permeation can be estimated by the data of given formula (Demailly, 2000), this corneal penetration study also uses to calculate the drug flux (J), and apparent permeability coefficient (Papp).

Where, dQ/dt (µg/cm2.h) it is the flux across the corneal tissue of the eye. A is the area of diffusion (cm2), Co is initial concentration of drug in the donor compartment (μg/ml) and 3600 as the factor to convert hour into second priorly.
UV spectro-photometer evaluation
Timolol under the hydrogel combination formulation get evaluated under UV-spectroscopy by comparision the standard data with reference ones. The solution containing 10μg/ml of drug in prepared artificial tear fluid with maintaing the pH range in between pH 7.4. Then this prepared artificial solution get evaluated by scanning over the wavelength range of 200nm to 400nm against the artificial tear fluid as a blank solution by using double beam of UV spectrophotometer.
Clarity evaluation
One of the adoptive measurement evaluation method clarity test. Clarity test is performed just after the Timolol maleate hydrogel formulation prepared, the infront of the white and black board, clarity test has been performed. In-situ hydrogel formulations were prepared by employing the gellan gum, PLGA and chitosan alone or in combination with co-polymer i.e. carbopol 940p in different ratios in priority.
pH determination
pH plays an important role in the ophthalmic preparation, as it get easily inflamate or irritate the eye ball and eye lids, which also can leads to major serious problem with the normal eye physiological function. Prior (Wu, et al 2017) ophthalmic formulations should have falls pH range in between 5 to 7.4 pH range, this is one of the most important parameter involved in the preparation of the ophthalmic formulation. The mainly two areas of critical importance are the effect of pH is one solubility and another stability.
Iso-tonicity adjustment
Isotonicity it is one of the important characteristic of all the ophthalmic preparations. Isotonicity must to be maintained to prevent against cell/tissue damage or from causing irritation to the cornea. There are several parameter, by isotonicity can be evaluated, opthalmic formulations get evaluate their isotonic, it is the osmotic pressure which is same as body fluid, hypotonic it is the osmotic pressure which is greater than body fluid and hypertonic it is the osmotic pressure which is less than of body fluid. The tonicity of Timolol maleate hydrogel was determined by adopting the haemolytic method. In haemolyic method the prepared formulations were mixed with the 4-5 drops of blood and observe under microscope at 45× magnifine power and examin the effect of formulation on red blood cells (RBCs) and there changes like swelling, bursting, and occuring cremation.
Determination of gelling consistency
The Timolol hydrogel consistency or the capability as the thick formulation meant for insert into eye for long duration of adhering capacity, one of the evaluation parameter falls under. The in-vitro gelling capacity test was determined by placing the freshly prepared solution about quantity 0.5 ml of in-situ timolol hydrogel in a vial which containing freshly prepared simulated tear fluid with pH 7.4 and equilibrated at temperature 37ºC. The visual inspection can also be done for the assessment of gel (Berts et al., 2013). It is also important to noe the time required for the gelation as well as time taken for the formation of gel to dissolve. Different grades could be allotted with the gel integrity and rate of formation of gel with respect to time duration. These are the different grades alotted as:
The grades with no gelation (-)
The grades for gelation after few minutes and sustained about 1-2 hours (+)
The grades for gelation which immediate and remains for up to 8 hours (++)
The grades for the gelation immediate and remain extended time (+++)
Grades for very stiff gel (++++)
Viscosity/rheological evaluation
Viscosity plays an important role for the determination of the hydrogel of drug timolol, viscosity is the parameter which defines the stability as wel as the potency of the formulation. The instrument uses to determines the viscosity Brookfield digital viscometer would use for the determination of viscosity and rheological properties, with using spindle no 4.
Sterility test
Sterility parameter is one of the most important requirements for the ophthalmic formulation. The sterility tests are intended for detecting the presence of microorganisms in prepared ophthalmic formulations. In general sterility test performes for the detection of aerobic bacteria such as, Staphylococcus aureus, or ATCC 6538 and also for anaerobic bacteria such as, Bacteroides vulgatus, or ATCC NO. 8482 with the using fluid thioglycollate medium (FTGM) and for fungi such as Candida albicans, ATCC10231 using soyabean casein digest medium (SCDM). The entire sterility study performs under aseptic conditions in a laminar air flow chamber. All the required glassware get autoclaved prior to use and then placed under the laminar chamber. All non-autoclavable materials were thoroughly washed with isopropyl alcohol to make surity from free of microorganisms.
Cumulative drug content analysis
Drug content analysis determines by diluting in-situ hydrogel formulation with STF or evaluation under UV spectroscopy at 294 nm for timolol maleate hydrogel.
Results and discussion
In the treatment of the glaucoma an advanced methods and appropriated formulation was designed. The hydrogel system of the nanoparticles was immensely adopted and its fundamental advantages over the conventional dosage form that might leads the effectiveness and for the ease administration makes it more patient compliances. Hydrogel in-situ gel have been performed and passed through the several parameters for the test of its efficient and tests for the polymer, drug linkages and physicochemical and chemical stability also has been performed and obtained the results with optimistic passed. It was concluded there were several drawback with the conventional formulation for the treatment of the glaucoma and with the present timolol maleate formulation too. Hence nanoparticle hydrogels system formulated with the timolol maleate by using the cold method. In the preparation of the in-situ hydrogel different types of gelling systems that is ion activated system and the temperature dependent system has been used. Gellan gum primarily acts as ion activated system and where chitosan acts as temperature dependent gelling system for the timolol maleate hydrogel. The obtained hydrogel of the timolol maleate in-situ gel was isotonic and optimistic sterile in nature as it passes the sterility test. The advantage of the in-situ gel, it sustained the drug and release with the controlled manner up to time duration of 10 hours. It was found that comparatively it shows the longer period than available marketed eye drops and other formulation for the treatment of the eye.
In the conclusion in-situ gel of the timolol maleate with the several polymer can be a good alternative and greater choice in terms of the bioavailability and sustained release than for conventional eye drops and it may also reduce the number of application of the drug hence improves the patient compliances. In terms of the clinical benefits and future analysis suggested doing the animal studies to understand the in-vivo efficacy of the drug from the in-situ hydrogel formulation of timolol maleate.
As per the clinical study efficacy of the single dose of 0.1% Timolol Gel when administered in healthy volunteers shown that IOP reduction of 30% at peak compared to the baseline observed with an equivalent decreasing curve. Additionally, also in the recent French study efficacy profile of IOP-lowering effect of 0.1% timolol in gel when compared to a 0.5% timolol solution in healthy volunteers was confirmed the great success of the decreasing in the glaucoma percentage. It was also studied in the literature survey found that, with the combination of beta-blockers has an additional effect on IOP about 0.1% timolol gel and Latanoprost get results in an overall IOP reduction by 38%. This administration practices of a dual combination therapy of timolol with Travoprost in patients with an average pretreatment IOP observed 25 to 27 mmHg results in a reduction to 16-17 mmHg and an average reduction of about 8 to 10 mmHg (32 to 38%).
Table 2. Evaluation of different parameters involves, Organoleptic parameter, solubility, pH test, clarity test, gellation time evaluation, gellation temperature analysis, percentage drug release profile
|
Organoleptic Parameters |
Formulation |
Solubility |
pH test |
Clarity test |
Gelation time evalution (seconds) |
Gelation temperature analysis |
Percentages drug release profile |
|
Colour White to off creamish Nature crystalline Odour definite aroma |
F1 |
pH 6.2 to 7.7 buffer solution Methanol 10mg/ml Ethanol:Water (1:1)- 0.300mg/ml |
6.5 |
Clear |
195.22 |
AT 45’C |
43.24 % |
|
F2 |
6.3 |
Clear |
134.20 |
AT 36’C |
37.30 % |
||
|
F3 |
6.7 |
Clear |
143.00 |
AT 37’C |
53 % |
||
|
F4 |
6.8 |
Clear |
178.32 |
AT 45’C |
35.10 % |
||
|
F5 |
6.1 |
Slightly stiff |
198.53 |
AT 37’C |
28.00 % |
In-vitro Drug Release profile analysis
In-vitro hydrogel of timolol maleate evaluate by the using of Franz diffusion cell this cell used to measure the diffusion capacity of the drug across a cellophane membrane. Franz diffusion cell having two compartments one is the donor compartment and other receptor compartment. In the determination of the in-vitro drug delivery profile the previously socked cellophane membrane taken and placed in between these two compartments. About the 1 ml of formulation keep put in the donor compartment just above the membrane. Then receptor compartment which contains about the 25ml to 30 ml of stimulated tear fluid (STF) as receptor medium already. STF solution is prepared by using the NaCl, 6.8g, NaHCO3 2.2g, CaCl2⋅2H2O 0.08g, or KCl 1.4g, with water up to 100 ml in quantity. Then the diffusion cell places over a magnetic stirrer speed at maintained about 50 rpm at 37 ± 0.5°C temperature. At desired or predetermined time intervals liquids from the release medium were withdrawn and get diluted with the receptor medium and then receptor compartment was compensated with an equal volume of the fresh receptor medium. This study helps the determination of the drug release capacity by drug concentrations measurements in the release mediumtakenout at several time intervals and this liquids get analyzes under spectro-photometrically at 294 nm, the graphs that turns shows the peak upward and downwards with revealing the data to understand and comparision with the standard. After taken the liquids from the cell, at the end of the 10 hours more than 95% of the drugs releases from the formulations.
In-vitro corneal penetration determination
The in-vitro corneal penetration is the ability of the substance to permeate through the corneal barrier which depends on several factors, such as chemical nature of the substance, size and conformation of the particles, lipid/water partition co-efficient ratio, and degree of ionization. The corneal epithelium is lipidic in nature and it act as the major barrier for hydrophilic drug substances and aqueous stroma of cornea is the main barrier for hydrophobic agent. Transcorneal permeation of Timolol maleate in-situ hydrogel was compared with standsard timolol hydrogel. The in-vito corneal penetration determination expose the time duration need to permeate the drug molecules into the eye environment about 10 minutes to 15 minutes which is optimistic duration. The prepared formulation compare with the standard formulation and results obtained in 10 hours of time duration are 19.48% for F2, 39.04% for F6 and 37.31% of F3.
The higher corneal permeation ability of the in-situ timolol hydrogel could be because to higher mucoadhesive nature of the polymer which is used in the in-situ gel formulation prior.
Table 3. Concentration vs Absorbance linearity shows the 0.159ug/ml was found to be intercept linear with the slop (r2= 0.999)
|
Concentration (ug/ml) |
Absorbance (nm) |
Mean data |
|
2 |
0.055 |
0.159 |
|
4 |
0.110 |
|
|
6 |
0.159 |
|
|
8 |
0.210 |
|
|
10 |
0.260 |
UV Spectro-photometer evaluation
Under the UV spectrophotometer the objected artificaial solution get evaluated, with the solution containing 10 μg/ml of drug in artificial tear fluid with maintaing the pH-7.4 was prepared and scanned over the wavelength range of 200nm to 400nm against the artificial tear fluid as a blank by employing the double beam UV spectrophotometer. The obtained plot of absorbance vs. wavelength was recorded which shows the UV spectrum of timolol maleate in artificial tear fluid is pH-7.4 shows that the drug had λmax of 294.0 nm which was exactly similar to the value reported of the folmulation of hydrogel of timolol maleate.
Then the obtained plot of absorbance vs wavelength was recorded and get comparisioned. UV spectrum of timolol maleate in artificial tear fluid with pH-7.4 indicated that the drug had λmax of 294.0 nm which was similar to the value reported of the formulation.
Clarity evaluation
Clarity evaluation methods majorly helps us to detection of the presence of the undesirable or foreign material presence. This test is performed under the white or black background and formulation keept infrom of it. As in-situ hydrogel formulations prepared by adopting gellan gum and chitosan alone or in combination with co-polymer that is carbopol 940p in different ratios prior. It must be ophthalmic formulation clear or transparent in appearance without any turbidity or suspended particles or impurities presence. The prepared all the batches of in-situ timolol hydrogel passed the clarity test and subjected to further evaluation parameter.
It was found the prepared formulations of all the batches were clear or transparent in appearance without observing any turbidity and suspended particles or impurities into the formulation. Hence, all the batches of in-situ hydro gel passed the clarity test.
pH determination
pH is one of the important parameter which involved in the ophthalmic formulation. The two major areas of critical importance are the effect of pH on primarily solubility and in stability. Ophthalmic formulations must have pH range in between 5 to 7.4 pH. The subjected pH lies in the ranges between 6.1 to 6.7 pH.
The observed pH was lies in the ranges of between 6.1 to 6.7.
Isotonicity adjustment
Isotonicity is the concentration of formulation which is same as body fluids. Ophthalmic formulations should have pH range in between 5 to 7.4 pH. The determined pH was lies in the ranges in between 6.1 to 6.7 pH.
At the final observation the compare of the shape of formulation mixed with the blood cell with isotonic which is 0.9% NaCl, hypotonic it is 0.45% NaCl and hypertonic it is 3% of the solution observed, and found under iso-tonic conditions.
Gelling property determination
Viscosity and gelling capacity are the two essential requirements for phase transition system in-situ hydrogel are. To determin the gelling property helps to detect the hydrogel capablity, and this gelation capacity is the rate and the extent of conversion of sol-to-gel formation. In case of the timolol maleate hydrogel flow behavior of formulation is an important parameter. It involves in handling and in-vivo performance, as because too viscous formulation tends to difficulty in instillation into the eye and where as too low viscosity tends to increase drainage of applied formulation from the eye. Hence, the determination of the gelling property it was found in the visual or manual inspection it was found excepted formulation F3 and F6 and F2 which containing 0.8% of gellan gum and chitosan alone respectively.
The formulations of F8 and F9 were not showed any signs of sol-to-gel transition up to temperature at 45°C temperature, hence F8, F9 batches get rejected from the study. It was immense helpfull by adopting combination of polymer such as gellan gum, PLGA or chitosan and co-polymer (carbopol 940p), they showed rapid sol-to-gel transition in tho the formulation.
Sterility test
Sterility comes with the one of the important criteria for the ophthalmic formulation. The presence of any microbes(bacteria, viruses etc.) in the preparation can cause irritation, inflammation and may also infect the corneal surface of the eye. Sterility test of the prepared formulations must ensured during the preparation process. The autoclaving at 15lbs pressure at temperature of 121°C for 15 minutes adjusted to sterilizes the in-situ gel formulations of Timolol maleate. Hydrogel formulations get tested for sterility by using direct inoculation technique in the FTGM for aerobic and anaerobic bacteria and in SCDM for fungi as per the Indian Pharmacopoeia procedure. The timolol maleate in-situ hydrogel formulations get incubated with media suitable for growth and for proliferation of aerobic and anaerobic bacteria and for fungi, whuich showed no growth or no turbidity at end of 15 days prior.
Hence it was concluded in the sterility test negative control or test samples possess clear and even when compared with positive control showed turbidity but showed there was no evidence of microbial growth in the ‘sterility test’ and ‘negative control’ tubes, as ‘positive control’ tube showed little macroscopic evidence of thmicrobial growth or the turbidity. Finalized the timolol maleate in-situ hydrogel suggested that the tested for aerobic and anaerobic bacteria and fungi has been passed the sterility test and also proved the suitability and effectiveness of autoclave sterilization.
Viscosity/rheological evaluation
Rheological evaluation parameter correlated with the variation in viscosity under the different conditions and it is an important parameter to be considered in the utilization of the hydrogel for the insert into the eye. Whereas it will be difficult to administer the highly viscous gel into the eye or even lower viscous formulation also leads the dificulty for the same, hence the proper gelling capacity achievement is mandatory for the preparation of the hydrogel of the timolol maleate for the treatment of the glaucoma. In the test parameter for the viscosity it was evaluated at pH 6.0 that is before gelation and at ocular pH STF pH 7.4 that is after gelation. And the result was observed that formulations containing the combination of polymer and co-polymer imparted with viscosity to the formulation without getting affecting its clarity except for containing chitosan, carbopol 940p in 1:1 ratio formed turbid solution but optimistic viscous.
The formulation batches F8 and F9 containing 0.6% w/v of gellan Gum, PLGA and chitosan respectively possess the low viscous solutions and also there was no difference in viscosity at the formulation with the pH range of pH 6.0 and at ocular pH range pH 7.4 and there was no sign of gelation up to temperature 45°C get rejected from the evaluation parameter.
The viscosity of hydrogel measures at different angular velocities at a temperature of nearly about 25°C to 30’C. A compratively run comprised changing of angular velocity from 5 rpm to 25 rpm. The viscosity of the sprindle of the instrument measurements done before at pH 6.0 and after gelling at STF pH 7.4.
Cumulative drug content analysis
Drug content analysis showed the in formulation drug amount presence in the respective bacthes with the potent activity. This rug content test was determined by using UV-spectrophotomer. The drug content solution was taken out by the prcedure and it was placed under the UV-spectrophotometer and lamda-max adajusted and the plotted graph ananlysis was concluded the results found to be 97.78 ± 0.34% and 98.06 ± 0.371% respectively for IG1-F3, IG2-F2 and MP-F4 formulation.

Figure 2. Cumulative percentage of drug release from the formulation. Formulation (IG1-F3, IG2-F2 and MP-F4) shows optimistic scale
Conclusions
In this prospective study timolol maleate 0.1% hydrogel can be an effective and advanced attempt, which not only promises the better compatibility with the polymer but also helps to maintain the sustained drug delivery system. In-situ hydrogel of timolol maleate 0.1% comes with the safest and effective means for the preventing of the glaucoma conditions and preserves the health of the optic nerves. Future prospectus clinically in-vivo experiment may need to do human volunteer observation, this present data would be sufficient to make an effective and advanced timolol maleate hydrogel.
Acknowledgement
I am thankful to Dr. Pranay Soni and Dr. Shruti Rathore to give their precious time throughout my research work, and help me by providing books, journals and newsletters. This work may impact the great effort on the “Design, development and characterization of Timolol hydrogel formulation for effectivetreatment of glaucoma”, may further researchers come and show the interest.
References
Akaishi T, Ishida N, Shimazaki A, Hara H, Kuwayana Y. 2005. Continuos monitoring of circadian variations in intraocular pressure by telemetry system throughout a 12-week treatment with timolol maleate in rabbits. Journal of Ocular Pharmacology and Therapeutics, 21(8): 436-444.
Berts I, Gerelli Y, Hilborn J, Rennie AR. 2013. Structure of Polymer and Particle Aggregates in Hydrogel Composites. Journal of Polymer Science Part B Polymer Physics, 51: 421–429.
Bichara DA, Bodugoz-Sentruk H, Ling D. 2014. Osteochondral defect repair using a polyvinyl alcohol-polyacrylic acid (PVA-PAAc) hydrogel. Journal of Biomedical Materials Research, 9: 045012.
Chen Q, Chen H, Zhu L, Zheng J. 2015. Fundamentals of double network hydrogels. Journal of Materials Chemistry B, 12(3): 3654–3676.
De campus AM, Diebold Y, Carvalho E, Sanchez A, Alonso MJ. 2004. Chitosan nanoparticles as new ocular drug delivery systems: in vitro stability, in vivo fate, and cellular toxicity. Journal of Pharmaceutical Research, 21(6): 803-810.
Gong JP, Katsuyama Y, Kurokawa T, Osada Y. 2003. Double-Network Hydrogels with Extremely High Mechanical Strength. Journal of Advanced Materials, 15: 1155–1158.
Haraguchi K, Takehisa T. 2002. Nanocomposite Hydrogels: A Unique Organic–Inorganic Network Structure with Extraordinary Mechanical, Optical, and Swelling/De-swelling Properties. Journal of Advanced Materials, 14:1120–1124.
Hodgson SM, Bakaic E, Stewart SA, Hoare T, Adronov A. 2017. Properties of Poly(ethylene glycol) Hydrogels Cross-Linked via Strain-Promoted Alkyne–Azide Cycloaddition (SPAAC) Biomacromolecules, 17: 1093-1110.
Hu J, Chen Y, Li Y, Zhou Z, Cheng Y. 2017. A thermo-degradable hydrogel with light-tunable degradation and drug release. Biomaterials, 112: 133–140.
Huang T, Xu H, Jiao K. 2017. A Novel Hydrogel with High Mechanical Strength: A Macromolecular Microsphere Composite Hydrogel. Journal of Advanced Materials 19: 1622–1626.
Knight OJ, Lawrence SD. 2014. Sustained drug delivery in glaucoma. Journal of Current Opinion in Ophthalmology, 25(3):112-117.
Li C, Rowland MJ, Shao Y, Cao T, Chen C, Jia H, Liu D. 2015. Responsive double network hydrogels of interpenetrating DNA and CB host–guest supramolecular systems. Journal of Advanced Materials, 27: 3298–3304.
Maus TL, McLaren JW, Shepard Jr. JW, Brubaker RF. 1996. The effects of sleep on circulating catecholamines and aqueous flow in human subjects. Journal of Experimental Eye Research, 64(4):351–358.
Nichol JW, Koshy ST, Bae H. 2010. Cell-laden microengineered gelatin methacrylate hydrogels. Biomaterials 10(31):5536–5544.
Park SS, Sigelman J, Gragoudas ES. 2002. The anatomy and cell biology of the retina. Foundations of Clinical Ophthalmology, 1: 1-10.
Patenaude M, Hoare T. 2012. Injectable, Mixed Natural-Synthetic Polymer Hydrogels with Modular Properties. Biomacromolecules, 13(4):369–378.
Ph Demailly. 2002. Biodisponibilité des médicaments hypotonisants. Journal Français d’Ophtalmologie, 23(5): 518–522.
Pouliquen P. 1999. Les gels de carbomère dans le traitement de l’œil sec,” Journal Français d’Ophtalmologie 22(8):903–913.
Sabzi M, Samadi N, Abbasi F, Mahdavinia GR, Babaahmadi M. 2017. Bioinspired fully physically cross-linked double network hydrogels with a robust, tough and self-healing structure. Journal of Materials Science and Engineering C, 8(74):374–381.
Wenguang L, May G, Fengfu L. 2008. Alginate microsphere-collagen composite hydrogel for ocular drug delivery and implantation. Journal of Materials Science: Materials in Medicine, 8(19):11-23.
Wu S, Dong H, Li Q, Wang G, Cao X. 2017. High strength, biocompatible hydrogels with designable shapes and special hollow-formed character using chitosan and gelatin. Carbohydrate Journal of Polymer Science Part A, 168: 147–152.
Zhang H. 2016. Strain-stress relation in macromolecular microsphere composite hydrogel. Journal of Applied Mathematics and Mechanics, 37:1539–1550.